Alexey Vladimirov

Theoretical physicist at the University of Regensburg.

This email address is being protected from spambots. You need JavaScript enabled to view it.

LHAPDFreader

Often I need to values of TMDs or PDFs. And since I am working a lot with Mathematica, I have plenty of scripts and modules related to it. Finally, I decided to organize a bit this experience, and collect these scripts into a package. Due to a lack of imagination, it is called LHAPDFreader. Currently, it can parse grids from LHAPDF (reading values of alphaS, and PDFs) and TMDlib (Pavia format). It is not as fast as original C++ codes, but for fast comparison and beautiful plots, it works well.I plan to update it with some extra features in the future.

It can be downloaded from the ExtraMaterials page.

Lattice, lattice, lattice...

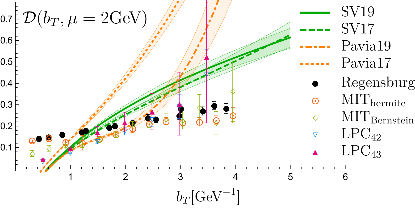
Lately, I worked on various topics related to lattice computation of parton distributions. One work on twist-3 quasi-distributions (2103.12105). Another is on the determination of the Collins-Soper kernel (CS-kernel), (2103.16991). Here is the compilation of data for the CS-kernel extractions & lattice.

Artemide v2.05 and fit of the Sivers function

The new version of artemide is just released! It is version 2.05 and is mainly devoted to the Sivers function and related structure-functions. There are also a number of smaller updates and bug-fixes. The data-processor is also updated.

This version of artemide+harpy+DataProcessor has been used for the extraction of the Sivers function. This is the first extraction of the Sivers function from SIDIS and DY data with N3LO TMD evolution. We successfully describe RHIC data. The picture on the left is the Qiu-Sterman function, which is derived from the Sivers function. The short letter on it has just appeared on arxiv. The complete version with all details to be published soon.

I did not update the site for half a year (which was a complicated year). I have a lot of material to share, and I will eventually upload it to the site, starting with the latest presentations.

 

Python3 and DataProcessor repository

In the next update (v2.05) harpy will be compiled with python3 (the python2 version is still present if needed). It can be already found in the artemide-development repository.

Another important news is a new repository. It contains the python library which is used for fits and data-analyses with artemide. It is not complete yet since the code was written in python2 and needs some updates and refactoring. The repository also contains the data collection used to fit artemide. All data sets contain a reference to sources.

Generically, the DataProcessor has a very simple structure. There are "points" which are dictionaries with all information needed to compute the cross-section by artemide in the artemide-friendly form (processes, bins, cuts, etc.), additionally, they contain all information needed for accurate comparison (uncertainties, normalization factors, etc). The "points" are collected to "DataSets" which also knows the information about this data set (normalization uncertainties, covariance matrix, etc), and equipped by methods for phenomenological analysis (like chi^2-computation, shifts evaluations, etc). For better performance "DataSets" can be combined into "DataMultiSets". There is an additional module that helps to send "points", "DataSets" and "DataMultiSets" directly to artemide in an optimal way and receives theory-prediction for it.

The talks-page is updated with two recent talks: one about web-diagrams, and another about non-perturbative definition of Collins-Soper kernel.

Development repository

The development version of artemide is now available in a separate repository. Use this version only if you need some very recent features, which are not yet in the official release (and thus could have bugs). Also if you would like to include your modification in the main code, you can request a merge.

The picture to the left shows the TMD-distribution in the pion. It (and other similar pictures) could be found in the presentations section.

Artemide ver.2.04

I have just released the artemide v2.04. In addition to the usual bug fixing and new options, this update contains an essential structural change. Namely, starting from v2.04 the model-files, are separate FORTRAN-modules. Their public interface is fixed (you can find it in manual, or in the head of models included in the artemide).
 
This change is critically important for future development. In fact, modular-structure for models should have been done from the very beginning (just I was not experienced enough during the initial architecture planing 3 years ago). I think you will enjoy this change because now the interfacing of models is much simpler, and complicated models could be implemented (e.g. with neural networks, or spline grids, or whatever). Unfortunately, it means that you will need to update your model-files (if you use your own). The update should not be complicated. I have updated all models included in the distribution (SV19, BSV19, Vpion19).
 
For those who like to modify the code of artemide: I have changed the paradigm of code storage. Now the code for a single module is stored in several files according to the logic of routines (in directory Code/ModuleName/). So far it is done only for a few modules, but in the future, I will turn all of them in such a form. The reason is simple: with the increase of functionality some modules became HUGE (literally thousands of lines), and it became very difficult to navigate them.

Artemide ver.2.03

An update of the artemide is released. Now, it is version 2.03. The update does not add a lot of functionality. Nonetheless, it is an important update since it contains plenty of bug-fixing. In particular, there was a bug in the definition of QED fine-structure constant, which resulted in an underestimation of the cross-section by a fixed amount (about 1.5 %). Also, several precision leaks have been found.

Artemide ver.2.02 and joined fit of Drell-Yan and SIDIS

 

The paper on joined fit of Drell-Yan and SIDIS is out. ArXiV It is a very important paper for my TMD project since it summarizes all that has been done, and shows that the TMD theory works just perfect. As usual, there are plenty of details. For that reason, the paper is very long.

There is also the update of the artemide to ver.2.02. It is the version that was used for the joined fit. There are not many principal changes, mostly there are fixations of interface issues and bug fixing.

 

Update of presentation section

Within the last two months, I made several talks in different places. Now, they are all available in the talk-section. All talks are related and based on upcoming publications on joined DY+SIDIS fit, and interpretation of the TMD evolution kernel.

Page 1 of 3

Contacts

Phone:   +49 (0)941 943 2003
Email-1:  vladimirov.aleksey@gmail.com
Email-2:  alexey.vladimirov@ur.de

Post address

Lehrstuhl Braun, Fakultät Physik
Universität Regensburg
93040 Regensburg, Germany

Subscribe updates

© 2018 Alexey Vladimirov

Please publish modules in offcanvas position.